[
掲示板に戻る
]
記事No.26989に関するスレッドです
★
最大最小
/ ジェネシックガオガイガー
引用
この問題も次のページ行っちゃって放置気味だったのでお願いします、ここだけが後分からないだけなんです
3点P,Q,Rが原点Oを中心とする半径1の円周上を自由に動くとき、内積↑PQ・↑PRの最大値、および最小値を求めよ、解説は画像の2枚です
分からないのは最大値の時β=φ=πの所と最小値の時β=5π/3,
φ=2π/3の所が分かりません
No.26989 - 2014/06/17(Tue) 07:21:26
☆
Re: 最大最小
/ ジェネシックガオガイガー
引用
画像の続きです
No.26990 - 2014/06/17(Tue) 07:21:59
☆
Re: 最大最小
/ ヨッシー
引用
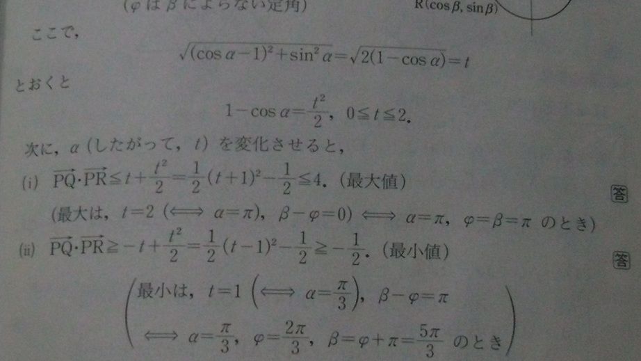
以前のように、点S(cosα−1, sinα) を取ります。
最大:
PQ
・
PR
=(1/2)(t+1)^2−1/2
0≦t≦2 より、t=2 かつ cos(β−φ)=1 で最大値4を取ります。
t^2/2=1−cosα=2 のとき、α=π
このとき、
PQ
=
OS
=(-2,0) であるので、φ=π
cos(β−φ)=1 より、β−φ=0 よって β=π
最小:
PQ
・
PR
=(1/2)(t−1)^2−1/2
0≦t≦2 より、t=1 かつ cos(β−φ)=−1 で最小値-1/2を取ります。
t^2/2=1−cosα=1/2 のとき、α=π/3 または α=5π/3
α=π/3のとき、
PQ
=
OS
=(-1/2,√3/2) であるので、φ=2π/3
cos(β−φ)=−1 より、β−φ=π よって β=5π/3
α=5π/3のとき、
PQ
=
OS
=(-1/2,−√3/2) であるので、φ=4π/3
cos(β−φ)=−1 より、β−φ=π よって β=π/3
※α=5π/3のときは、α=π/3のときに対して、x軸対称なので、
最小値の存在を示すだけなら、どちらかの記述で良いと判断して、
省略したものと思われます。
No.26991 - 2014/06/17(Tue) 09:16:32
☆
Re: 最大最小
/ ジェネシックガオガイガー
引用
PQ=OS=(-1/2,√3/2) であるので、φ=2π/3
PQ=OS=(-1/2,−√3/2) であるので、φ=4π/3
ここが分かりません、確かに同じですが、ここから何でφが求まるんですか
No.26994 - 2014/06/17(Tue) 10:23:20
☆
Re: 最大最小
/ ヨッシー
引用
φは
OS
のx軸となす角なので、以下の通り。
No.26997 - 2014/06/17(Tue) 10:36:46
☆
Re: 最大最小
/ ジェネシックガオガイガー
引用
あ、本当だ、PQと同じだから角度を変な所から測ってました、これで納得です、本当に有難うございました
No.26999 - 2014/06/17(Tue) 10:40:35